您当前位置是: 网站首页 >> 科学研究 >> 科研动态 >> 正文

陆蓉儿副教授课题组在IEEE Photonics Journal发表科研论文

阅读次数:     发布时间:2023-11-21

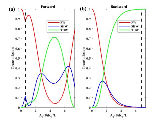
非互易效应是包括电学、声学和光学在内的许多领域的重要基本概念。它是一种不对称传输,即波在具有不同能量性质和相移的某种材料中以相反的两个方向传播时输出强度不一样。本文从理论上研究了基于一维带缺陷非线性光子晶体(NPC)结构的三倍频耦合过程中的非互易性,得到了与原始方程和简化方程相对应的正向和反向谐波演化图。仿真结果表明,可以实现三倍频的完全非互易。通过改变晶体长度、缺陷位置和缺陷宽度,可以获得三倍频不同程度的非线性互易性。这在全光二极管、光隔离器、放大器和环行器的设计中具有潜在的应用前景。

该工作以“Theoretical Study on Nonreciprocity for Third-Harmonic Generation Process in Nonlinear Photonic Crystals”为题发表在IEEE Photonics Journal期刊, beat365陆蓉儿副教授为该论文的通讯作者,其指导的研究生狄东睿为该论文的第一作者,该论文得到国家自然科学基金项目、江苏省自然科学基金项目的支持。

论文链接:https://doi.org/10.1109/JPHOT.2023.3267237